
Overview
To a large extent people form their views, decide how to vote or what to buy by exchanging opinions with others or by trusting information received from more or less authoritative channels. Such an attitude is even more crucial than individual inquiry and selection of information. Forming opinions via debate has a number of shortcomings, many of which have been identified and studied by social psychologists. One most relevant is Group-induced attitude Polarization (GP for short). This is a social phenomenon that typically occurs “when an initial tendency of individual group members toward a given direction is enhanced following group discussion.” (Isenberg 1986) For example, a group of moderate activists will tend to more radical positions after internal debate. A by-product of GP are bi-polarization effects, that happen when two sub-groups diverge towards opposite directions. Understanding the causes of GP is an important issue, especially in the era of social media. Indeed, political debate, virtual online discussion and forums seem to witness a more pronounced tendency for groups to polarize than actual face to face discussions. In general, polarization effects speak against the assumption that debate among informed individuals leads to consensus and is truth-conducive. The EDAPOL project studies the dynamics of argumentation and information update that lead to GP in a multi-agent context. Its main aim is to develop the precise logico-mathematical tools to understand the phases of the process that leads a group to radicalize its opinion either in one direction or in two separate ones.
Large field experiments conducted by social psychologists in the 1970s isolated Persuasive Arguments Theory (PAT) as one fundamental explanatory clue for GP. The PAT explanation holds that individuals become more convinced of their view when they hear novel and persuasive arguments in favor of their position, and therefore “group discussion will cause an individual to shift in a given direction to the extent that the discussion exposes that individual to persuasive arguments favoring that direction”(Vinokur and Burnstein 1974). The PAT explanation therefore posits that polarization may arise by a rational process due to individuals refining their argumentative skills. However, the exact mechanisms by which this process unfolds are still unclear. It is a main task for logic and epistemology to understand whether and how this process may unfold among individuals obeying strict norms of rational information update. More in particular, this is a key question for Social Epistemology. In recent years, the analysis of the mechanisms of information update in multi-agent interaction has been the focus of extensive work at the crossroads of logic, artificial intelligence and computer science, especially in the scientific community of Logical foundations of Rational Interaction (LORI). Research in LORI is characterized by a cross-disciplinary use of tools and methodologies from different disciplines, such as dynamic logics, game theory, social choice theory and the study of multi-agent systems. Two main formal tools provide the theoretical ground for the work of the EDAPOL project, namely Argumentation Frameworks (AF) and Logics of Information Change (LIC). The intertwined use of AF and LIC techniques is essential to analyze the step-by-step mechanisms that can generate GP among rational agents. The process leading to GP can indeed be decomposed into (a) an initial state where each individual of a group has a knowledge base; (b) one or many steps of information exchange among agents, determining an update of the knowledge base of each agent and, by consequence, of their opinion about the debated issue. The knowledge base of each individual is representable as a structured argumentative basis, where new items of information (arguments) pro or contra the debated issue can be added. AFs are the appropriate tool for representing such a structured knowledge base. Information exchange and the update of the knowledge base are instead typical examples of epistemic actions performed by the agents. Over the last years LIC developed the most advanced techniques for modelling epistemic actions and the changes they induce in one agent's knowledge base.
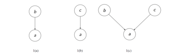
A simple example illustrates how GP may arise in a two-agents setting by means of a straightforward epistemic action of information update (Figure 1). We represent the argumentative knowledge base of an individual in the form of a graph where arguments are the nodes. A directed edge from a node a to a node b means “argument a attacks argument b”. Suppose that our debated issue is a and that there are two agents, 1 and 2, both having arguments against a. The knowledge base of Agent 1 is represented as the AF in Figure 1(a), where b attacks a. The knowledge base of Agent 2 is represented in Figure 1(b), where an argument c, different from b, attacks a. In a situation of open communication, agents 1 and 2 will both disclose the full content of their knowledge base to each other. The most straightforward epistemic action that both agents can perform is to incorporate the information provided by the other agent. This will result in an argumentative update where both agents merge their knowledge bases. The result of such an update is represented in Figure 1(c) where both agents have new arguments against a, and therefore the group “shifts” towards a more radical opinion against a.

Figure 1: The AF in Figure 1(a) represents the knowledge base of Agent 1. The AF in Figure 1(b) represents the knowledge base of Agent 2. The AF in Figure 1(c) represents the knowledge base of both agents after merging their information.
This basic example shows that AFs allow to “see” how polarization arises by a very simple mechanism of information update. However, the information update illustrated in the above example is by no means the unique possibility for updating one's knowledge base: more complex merging policies are studied in the literature. More in general, a wide range of epistemic actions, such as communication of partial information, or even cheating, is available to individuals for sharing private information. Analogously, many different procedures are available for updating one's knowledge base in the light of new information. The recipient can for example fully trust the new information received or else only accept the new items of information that are consistent with her own opinion.
In order to understand how polarization dynamics unfold, the EDAPOL project aims at: first, identifying all the epistemic actions of rational AF update in a debate; secondly, analysing which actions may lead to GP and how; finally, quantifying their impact on GP. This line of inquiry highlights three distinct research objectives, which will in turn correspond to the project's workpackages 1-3.
Research objective 1
Qualitative modelling of epistemic actions of information update of AF
The modelling techniques of LIC are adapted to the AF framework to model the most relevant epistemic actions: (a) information exchange and (b) information update of one individual's argumentative knowledge base. The study of the different operations of information exchange and information update enable (a) to encode specific actions such as transparent transmission of full information or strategic transmission of incomplete information; (b) to encode specific knowledge update policies such as credulous or skeptical update; (c) to understand how the different update policies described in (a) and (b) can possibly induce two agents to end up with very different knowledge bases after information exchange.
Research objective 2
Qualitative epistemic actions leading to GP
The modelling of epistemic actions on AFs is transferred to the analysis of GP in a multi-agent setting. Its main aim is to test in a small group (three or four agents) how polarization and bi-polarization may arise when agents apply the policies of information exchange and update defined above. The way for determining the opinion change of agents after information exchange and update is provided by the semantics of AF.
Research objective 3
Quantifying the impact of epistemic actions
This research objective has a twofold aim. Firstly, it is intended to provide a method for defining the degree of likelihood of a debated issue in one agent's knowledge base. A second task is to analize the quantitative impact of epistemic actions on the measure of likelihood. As polarization in social psychology is studied as a change in the likelihood that individuals attribute to a given issue before and after debate, the rationale behind this final objective is to provide a framework of analysis that can be put to work by psychologists as a background theory for their experimental study design.
Reseach methodology and approach
The EDAPOL project is based on a formal methodology, centered on the application of mathematical and computational tools to the analysis of GP, a phenomenon first studied within social psychology. This project develops fundamental tools for approaching the study of social phenomena in alternative ways. A dominant portion of research in social psychology is indeed conducted via field studies and lab experiments on control groups of actual humans. However, this research is increasingly complemented by formal investigations, eminently by mathematical modelling of societies of artificial agents. There are at least two benefits of such an approach. First, formal models are set up so that only the relevant hypotheses are tested. Second, the situation in which an artificial agent is put is always replicable. This allows for computer simulations of societies of artificial agents and makes the study immune to confirmation-biases and other disturbing factors. Formal analysis via models can therefore help to test and aid explanations of hypotheses that were provided by psychological experiments.
A fundamental step for achieving comprehension of the processes underlying GP is the rigorous clarification of the very same concept of GP and the formal modelling of the relevant steps of a multi-agent argumentative exchange that can generate GP. Literature on abstract argumentation already provides the fundamental concepts to define GP, both at the qualitative and the quantitative level, as the result of the modification of one individual's knowledge base. Additionally, LIC modeling techniques provide the adequate framework to model the epistemic actions inducing such changes. On this basis it is possible to derive analytic results providing the necessary and sufficient conditions inducing GP in a multi-agent argumentative exchange. Such analytic results can expand the comprehension of the causes of GP by providing a set of explanations wider than the one isolated on an experimental basis.